Главная
О компании
Продукция
Арматура
Круг
Катанка
Проволока
Профильные трубы
Квадрат
Лист
Уголки
Швеллер
Балки
Полоса
Прайс-лист
Контакты
Каталог
Uz
Рус
Металлопрокат оптом
и в розницу в Ташкенте
Офис продаж
+998 90 830-99-94
Яшнабадский район, ул. Оханграбо, 1
Офис продаж
+998 90 830-99-95
Яшнабадский район, ул. Оханграбо, 1
Офис продаж
+998 90 830-99-96
Яшнабадский район, ул. Оханграбо, 1
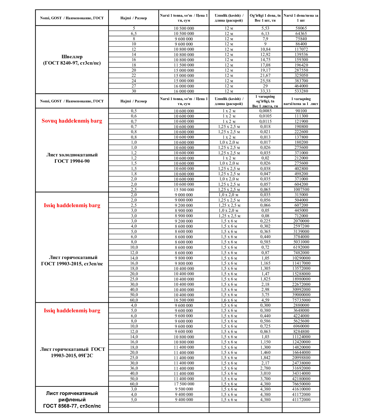
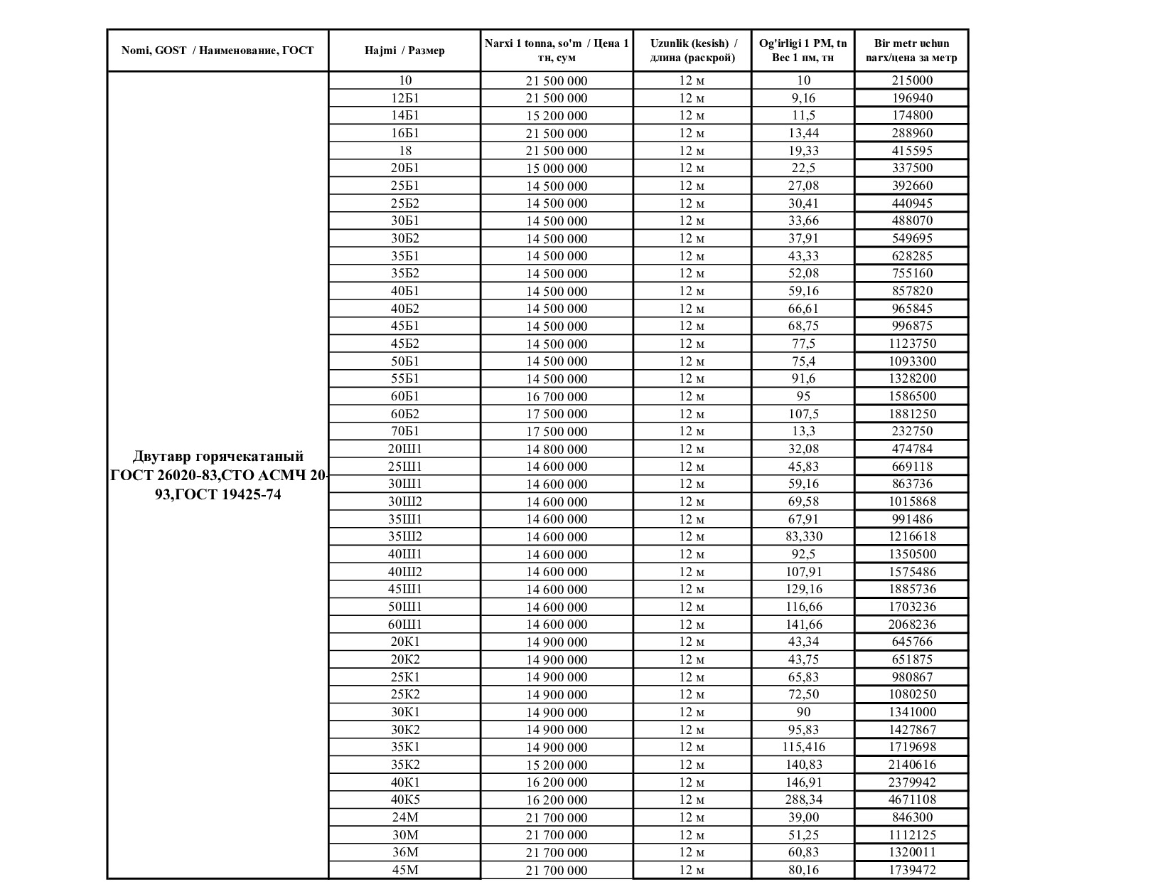
Актуальные цены на металлопрокат компании ИП ООО «MODULSTAL» в Ташкенте.
Скачать прайс
Telegram
Instagram
Написать
Позвонить
Каталог металлопроката
Арматура
Арматура рифленая
Арматура гладкая
Арматура А240
Арматура А500
Арматура А400
Арматура строительная
Арматура мерной длины
Круг
Круг горячекатаный
Круг черный
Катанка
Катанка стальная
Катанка в бухтах
Катанка тянутая
Проволока
Проволока вязальная
Проволока ВР-1
Проволока для сетки
Труба профильная
Труба профильная квадратная
Труба профильная прямоугольная
Труба тонкостенная
Труба толстостенная
Квадрат
Квадрат литой
Квадрат стальной
Квадрат горячекатаный
Листовой прокат
Лист горячекатаный
Лист холоднокатаный
Лист рифленый
Черный лист
Лист металлический
Уголок
Уголок равнополочный
Уголок горячекатаный
Стальной уголок
Швеллер
Швеллер строительный
Швеллер горячекатаный
Швеллер стальной
Балка
Балка двутавровая
Балка горячекатаная
Балка строительная
Полоса
Полоса горячекатаная
Полоса стальная
×
×
Оставьте заявку,
мы рассчитаем стоимость металлопроката и доставки
Какой металлопрокат Вам нужен?
Какой объем?
Куда доставить?
Дальше
Дополнительная информация:
Загрузите ТЗ, если есть
Максимальный размер файла: 10 МБ
Имя
Телефон
Я даю свое согласие на обработку персональных данных
Назад
Рассчитать